Banner
  • Trang chủ
  • Giới thiệu
    • Giới thiệu chung
    • Sơ đồ tổ chức
  • Tin tức - Thông báo
    • Tin tức từ sở
    • Thời khóa biểu
    • Công Đoàn
    • Tin tức từ Phòng
    • Văn bản chỉ đạo
    • Các cuộc thi
    • Câu lạc bộ hiếu học
    • Cơ sở vật chất
    • Hoạt động Chi bộ, Lãnh đạo
    • Hoạt động chuyên môn
    • Hoạt động Đội - Y tế trường học
    • Tin tức
    • Lịch sử nhà trường
  • Thông báo
  • Thư viện ảnh
  • Video
  • Liên hệ
Chào mừng bạn đã đến với Trường TH&THCS Tuy Lộc
  1. Trang chủ
  2. Câu lạc bộ hiếu học Đề Toán kì thứ 7 khối 7-8; Bài giải tuần trước
2021-12-31 | 14:56:28

Câu lạc bộ hiếu học Đề Toán kì thứ 7 khối 7-8; Bài giải tuần trước

Đề ra kì 7 lớp 7

 

Đề ra kì 7 lớp 8

 

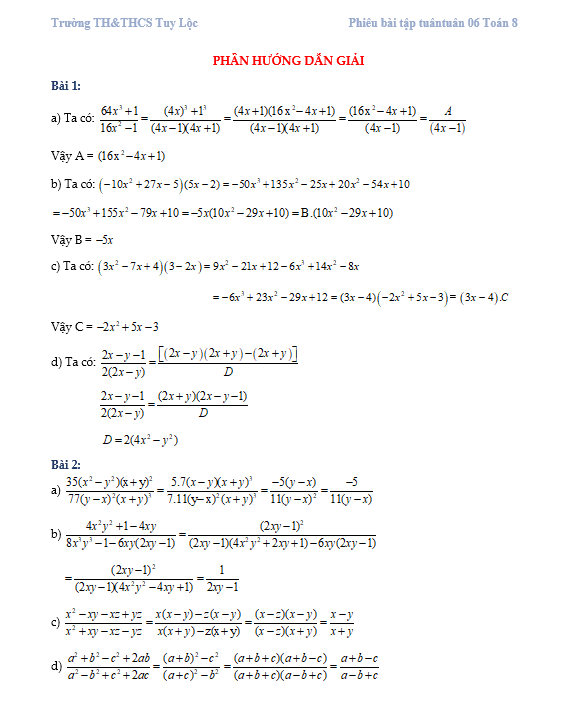
ĐỀ RA TUẦN TRƯỚC VÀ LỜI GIẢI

LỜI GIẢI

 

 

LỜI GIẢI

 


Bình luận
Tin liên quan
KẾ HOẠCH ĐỘI TUẦN 17

KẾ HOẠCH ĐỘI TUẦN 17

SƠ KẾT THI ĐUA KỶ NIỆM 77 NĂM NGÀY THÀNH LẬP QUÂN ĐỘI NHÂN DÂN VIỆT NAM (22/12/1944- 22/12/2021) - VỚI CHỦ ĐIỂM  UỐNG NƯỚC NHỚ NGUỒN

SƠ KẾT THI ĐUA KỶ NIỆM 77 NĂM NGÀY THÀNH LẬP QUÂN ĐỘI NHÂN DÂN VIỆT NAM (22/12/1944- 22/12/2021) - VỚI CHỦ ĐIỂM UỐNG NƯỚC NHỚ NGUỒN

KẾ HOẠCH HOẠT ĐỘNG ĐỘI TUẦN 16

KẾ HOẠCH HOẠT ĐỘNG ĐỘI TUẦN 16

Hội thi  Báo ảnh kỷ niệm Ngày thành lập Quân đội Nhân dân Việt Nam 22/12/1944- 22/12/2021 . Trường TH & THCS Tuy Lộc.

Hội thi Báo ảnh kỷ niệm Ngày thành lập Quân đội Nhân dân Việt Nam 22/12/1944- 22/12/2021 . Trường TH & THCS Tuy Lộc.

Kế Hoạch Đội Tuần 15

Kế Hoạch Đội Tuần 15

Học sinh trường TH&THCS Tuy Lộc thi Trạng nguyên toàn tài cấp trường

Học sinh trường TH&THCS Tuy Lộc thi Trạng nguyên toàn tài cấp trường

SINH HOẠT CHUYÊN MÔN THEO HƯỚNG NGHIÊN CỨU BÀI HỌC

SINH HOẠT CHUYÊN MÔN THEO HƯỚNG NGHIÊN CỨU BÀI HỌC

Tổ chức sinh hoạt chuyên môn cụm trường từ năm học 2021 - 2022  thành phố Yên Bái

Tổ chức sinh hoạt chuyên môn cụm trường từ năm học 2021 - 2022 thành phố Yên Bái

Câu lạc bộ hiếu học Đề Toán kì thứ 6 khối 7-8; Bài giải tuần trước

Câu lạc bộ hiếu học Đề Toán kì thứ 6 khối 7-8; Bài giải tuần trước

Hoạt động thi đua chào mừng ngày 20/11/2021

Hoạt động thi đua chào mừng ngày 20/11/2021

Thư viện ảnh
 Báo tường kỉ niệm 22-12

Báo tường kỉ niệm 22-12

03-01-2022
 Công tác tháng 12

Công tác tháng 12

03-01-2022
 Hoạt động chào mừng ngày 20/11

Hoạt động chào mừng ngày 20/11

03-01-2022
 Hoạt động gặp mặt nhà giáo kỉ niệm ngày 20/11

Hoạt động gặp mặt nhà giáo kỉ niệm ngày 20/11

03-01-2022
Hình ảnh nhà trường khi hoàn thiện

Hình ảnh nhà trường khi hoàn thiện

03-01-2022
Hình ảnh nhà trường qua các thời kì

Hình ảnh nhà trường qua các thời kì

03-01-2022
Tin nổi bật
Hình ảnh nhà trường khi hoàn thiện
Hình ảnh nhà trường khi hoàn thiện
Hình ảnh nhà trường qua các thời kì
Hình ảnh nhà trường qua các thời kì
 Hoạt động gặp mặt nhà giáo kỉ niệm ngày 20/11
Hoạt động gặp mặt nhà giáo kỉ niệm ngày 20/11
 Hoạt động chào mừng ngày 20/11
Hoạt động chào mừng ngày 20/11
 Công tác tháng 12
Công tác tháng 12
 Báo tường kỉ niệm 22-12
Báo tường kỉ niệm 22-12
Trường THCS Quang Trung, TP. Yên Bái, tỉnh Yên Bái: “Ngày hội tiếng Anh”
Trường THCS Quang Trung, TP. Yên Bái, tỉnh Yên Bái: “Ngày hội tiếng Anh”
Đinh Phương Nam - Chàng trai đất Tuy Lộc nổi danh chốn Hà Thành
Đinh Phương Nam - Chàng trai đất Tuy Lộc nổi danh chốn Hà Thành
Tin xem nhiều
Đồng chí Trần Phượng thăm và chúc mừng cán bộ, giáo viên trường TH&THCS Tuy Lộc nhân ngày Nhà giáo Việt Nam
Đồng chí Trần Phượng thăm và chúc mừng cán bộ, giáo viên trường TH&THCS Tuy Lộc nhân ngày Nhà giáo Việt Nam
Đổi mới hình thức tổ chức hoạt động ngày hội, ngày lễ cho trẻ
Đổi mới hình thức tổ chức hoạt động ngày hội, ngày lễ cho trẻ
ĐỌC SÁCH MỘT NÉT VĂN HOÁ ĐẸP
ĐỌC SÁCH MỘT NÉT VĂN HOÁ ĐẸP
Đinh Phương Nam - Chàng trai đất Tuy Lộc nổi danh chốn Hà Thành
Đinh Phương Nam - Chàng trai đất Tuy Lộc nổi danh chốn Hà Thành
Yên Bái: Chuyện học ở xã Tuy Lộc
Yên Bái: Chuyện học ở xã Tuy Lộc
VÒNG CHUNG KẾT HỘI THI “TUYÊN TRUYỀN MÔ HÌNH TRƯỜNG HỌC HẠNH PHÚC” SẼ DIỄN RA VÀO NGÀY 27/11/2021 TẠI HỘI TRƯỜNG THÀNH ỦY THÀNH PHỐ YÊN BÁI.
VÒNG CHUNG KẾT HỘI THI “TUYÊN TRUYỀN MÔ HÌNH TRƯỜNG HỌC HẠNH PHÚC” SẼ DIỄN RA VÀO NGÀY 27/11/2021 TẠI HỘI TRƯỜNG THÀNH ỦY THÀNH PHỐ YÊN BÁI.
Trường THCS Quang Trung, TP. Yên Bái, tỉnh Yên Bái: “Ngày hội tiếng Anh”
Trường THCS Quang Trung, TP. Yên Bái, tỉnh Yên Bái: “Ngày hội tiếng Anh”
Trường TH&THCS Tuy Lộc phối hợp với công an xã Tuy Lộc tuyên truyền phòng chống ma tuy - Thuốc lá điện tử
Trường TH&THCS Tuy Lộc phối hợp với công an xã Tuy Lộc tuyên truyền phòng chống ma tuy - Thuốc lá điện tử

Trường TH&THCS Tuy Lộc

Địa chỉ: A12, Đinh Tiên Hoàng, Q. Hoàn Kiếm, Hà Nội

Điện thoại: 0123456789 - Fax:+84123456789

Email: tieudv89@gmail.com

© Copyright 2022-2026 Trường TH&THCS Tuy Lộc. Thiết kế bởi mobiEdu

Thống kê truy cập

Đang trực tuyến:

1

Hôm qua:

4

Hôm nay:

10

Tổng số

3.759