Câu lạc bộ hiếu học Đề Toán kì thứ 6 khối 7-8; Bài giải tuần trước
Kì giải toán thứ 5 câu lạc bộ toán 7-8 thu hút nhiều học sinh tham gia, các em đã tích cực tham gia giải đề và nhiều em đạt điểm cao
Trường TH&THCS Tuy Lộc tiến hành trao giải đến các em học sinh trong danh sách sau:
| HỌ VÀ TÊN | LỚP | ĐIỂM | XẾP THỨ | KHEN THƯỞNG |
| Nguyễn Việt Đức | 8A | 7,5 | 1 | X |
| Phạm Mạnh Tuấn | 8A | 7 | 2 | X |
| Nguyễn Thùy Dung | 7A | 8 | 1 | X |
| Trần Gia Bảo | 7B | 6 | 3 | X |
| Nugyễn Thanh Dương | 7A | 6 | 3 | X |
| Nguyễn Phạm Gia Bảo | 7A | 7,5 | 2 | X |
| Nguyễn Đỗ Yến Nhi | 7A | 6 | 3 | X |



Đề ra kì 6 lớp 7

Đề ra kì 6 lớp 8

ĐỀ RA TUẦN TRƯỚC
LỜI GIẢI



ĐỀ RA TUẦN TRƯỚC

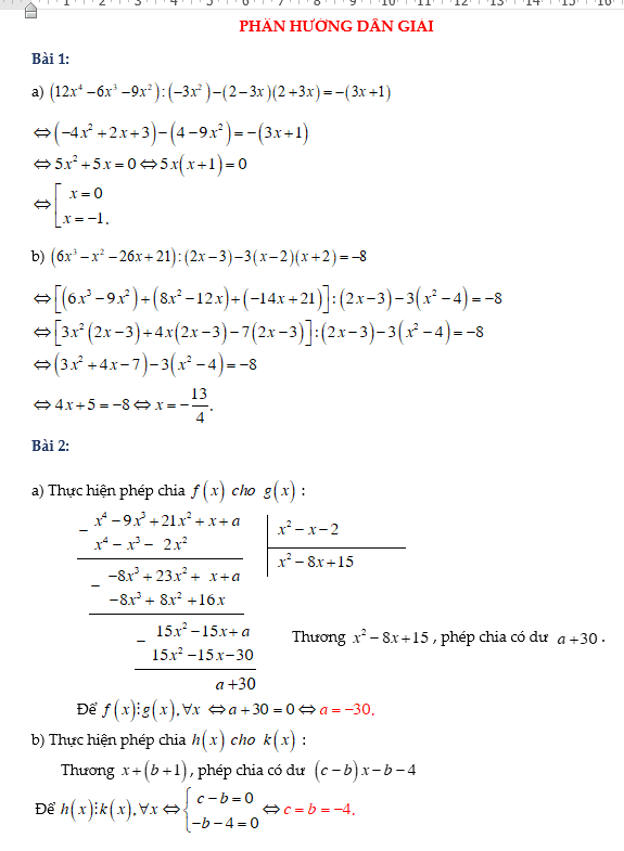
LỜI GIẢI




Bình luận










